AI로 발견한 후보 약물은 1상 임상시험에서 업계 평균보다 높은 80~90%의 성공률을 보일 수 있다는 연구결과가 Drug Discovery Today 저널 6일자에 게재됐다.
보스턴 컨설팅 그룹의 Madura Jayatunga 연구팀은 100개 이상의 A(인공지능)I 초점 바이오텍의 파이프라인 데이터에 대한 발견을 분석했다.
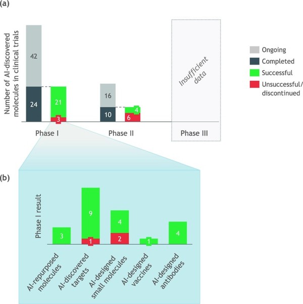
2015년 데이터를 사용해, 제약 파트너들과 함께, 이런 바이오텍들은 2023년까지 75개 분자를 임상시험으로 진행시켰고, 이 중 67개 분자가 임상 시험을 진행 중인 것을 확인했다.
상위 20개 제약사가 각각 AI 주도 신약 발굴에 관심을 보이는 가운데, 이 숫자는 지난 10년간 연평균 60% 이상 급증했다.
이런 분자들은 광범위한 치료 영역을 표적으로 하는 반면, 종양은 1상과 2상에서 AI 발견 분자의 약 50%를 차지해, 두드러졌다.
1상 임상에서, AI 유래 분자가 역사적 평균보다 높은 성공률은 알고리즘 효과와 독성 위험을 줄이는 검증된 생물학적 표적에 기인한 것으로 분석했다.
반면, 임상 성공률은 역사적 평균에 따라, 40%까지 떨어져, 개선을 시사했다.
6개 후보 중, 2개만 부정적인 결과 데이터로 인해 2상에 실패했고, 나머지는 사업 우선순위와 임상 운영 어려움 등의 이유로 개발자들이 중단했다.
결론적으로, 위의 성공률을 역사적 3상 임상과 복합하면, AI를 사용한 전체 임상 성공률은 5~10%에서 9~8%로 향상돼, 이는 제약사의 연구개발 생산성을 약 2배로 높이는 결과이다.
연구팀은 “이는 기업이 더 적은 자원과 비용으로 동일한 생산량을 달성하거나 동일한 자원 내에서 출시되는 신약의 수를 늘릴 수 있다”라고 밝혔다.
연구팀은 “이번 발견은 이미 약물 발견에서 잘 확립된 연구개발에서 AI의 다가오는 물결이 이제 임상시험 단계에서 일어나고 있음을 시사한다”고 적었다.
파트너십 증가
보고서는 AI 주도 약물 발견에 대한 관심이 높아지는 가운데 나왔다.
최근, 구글의 딥마인드 AI 연구부서는 약물 발견 분야를 대상으로 하는, 알파폴드 AI(AlphaFold AI) 모델의 세 번째 버전을 출시했다.
모건 스탠리에 따르면, 레큐션 파마슈티컬스(Recursion Pharmaceuticals), 슈뢰딩거(Schrodinger), 앱사이(Absci), 엑스사이언티아(ExscientiaI) 등도 머신러닝과 함께 올해 헬스케어 예산의 ~11%를 차지할 수 있는 시장인 AI에 집중하고 있다.
바이엘, BMS, 로슈, 릴리, 사노피 등 주요 제약사들은 AI 유도 약물 발견을 위해 레큐션, 엑스사이언티아) 등 중소 바이오텍 기업들과 파트너십을 체결했다.
