전 세계적으로 고혈압, 2형 당뇨병, 고콜레스테롤, 비만, 비알코올성 지방간 질환 등 모든 대사 질환의 비율이 증가했다는 연구결과가 Cell Metabolism 저널 7일자에 게재됐다.
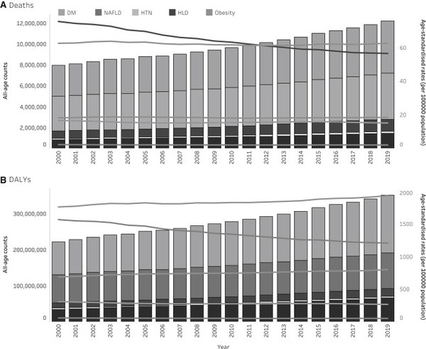
고지혈증, 고혈암 비알코올성 지방간질환의 사망률은 시간이 지나면서 감소한 반면, 당뇨병과 비만은 변화가 없었다.
GBD 2019(Global Burden of Diseases, Injuries, and Risk Factors Study 2019)에서 대사 질환에 대한 유병률, 사망 및 장애 조정 수명 연도(DALY)의 글로벌 추정치를 조사했다.
GBD 데이터는 1990년부터 현재까지 연령과 성별로 204개 국가와 지역의 370개 질병과 부상으로 인한 조기 사망과 장애를 조사했다.
2000~2019년까지 GBD 보고서를 비교해, 연구팀은 질병 부담의 가장 유의한 증가는 소득, 교육 성취도, 출산율에서 평균 이상인 국가에서 보인 것을 발견했다.
하지만, 이런 요인들과 상관없이, 전 세계적으로 상승 추세가 관찰되었다.
대사질환의 사망률이 가장 높은 곳은 지중해 동부지역이었고, 소득, 교육, 출산율 평균이 낮은 국가들이 뒤를 이었다.
대사 질환의 비율이 증가하고 있는 반면, 높은 콜레스테롤, 고지혈증, 고혈압, 간 질환의 사망률은 감소했다.
2000~2019년까지의 비만 관련 사망률은 연구된 질병 중 가장 높은 수준을 유지했기 때문에 크게 변하지 않았다.
조기 사망으로 인한 손실 연도 추정인, 장애 조정 수명 연도(DALY)는 매년 0.48% 증가했고, 2019년에만 1억 6020만 년의 수명손실을 차지했다.
또한, 2형 당뇨병 관련 사망률도 안정세를 유지했지만, 같은 기간 세계적으로 매년 1.56% 증가했다.
2019년 제2형 당뇨병과 관련하여 660만 년의 수명 손실(DALY)이 있었고, 2000~ 2019년까지 매년 0.77% 증가했다.
비알코올성 지방간 질환 관련 사망률은 연간 0.63% 감소했지만, 2019년440만년의 수명손실(DALYs)로, 발병률은 매년 0.83% 증가했다.
이번 연구결과에서 사망률은 정체되거나 감소하는 반면, 질병 발병은 세계적으로 더 높은 추세를 보이고 있음을 보여준다.
연구팀은 “대사질환으로 인한 변하지 않는 사망률과 사망률의 고착된 성별-지역적-사회경제적 격차를 해소하기 위해 시급한 관심이 필요하다”고 결론지었다.
